腾讯宣布开源 Youtu-GraphRAG 框架,解决图检索增强技术难题
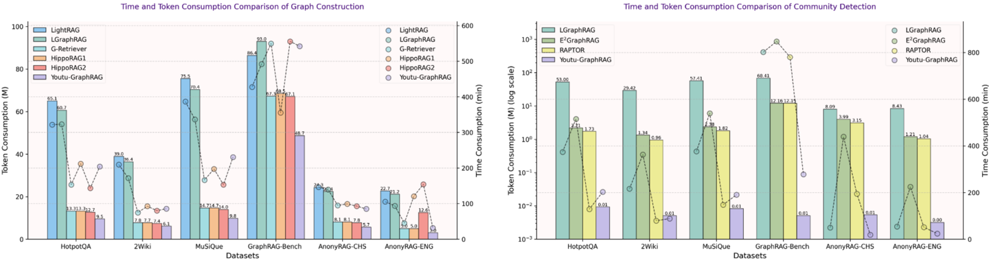
alixixi 9 月 13 日消息,图检索增强生成(GraphRAG)已成为大模型解决复杂领域知识问答的重要解决方案之一。然而,当前学界和开源界的方案依然面临开销巨大、效果有限、适配成本高等难题。因此,腾讯优图实验
alixixi 9 月 13 日消息,图检索增强生成(GraphRAG)已成为大模型解决复杂领域知识问答的重要解决方案之一。然而,当前学界和开源界的方案依然面临开销巨大、效果有限、适配成本高等难题。因此,腾讯优图实验
alixixi 9 月 13 日消息,据第一财经报道,在返程费问题中,司机面临返程空驶和高速费成本,希望有所补偿,平台同时也要保障乘客费用透明合理。滴滴表示,平台参考司机和乘客的反馈意见进行试点改进,推出了返程费的
alixixi 9 月 13 日消息,科技媒体 MacRumors 昨日(9 月 12 日)发布博文,报道称苹果 Apple Watch Series 11 满电续航可以达到 24 小时,相比较 Series 10
alixixi 9 月 13 日消息,Wine 今日发布了最新的 10.15 版本。这一开源兼容层已广泛用于在 Linux 系统上以运行 Windows 游戏和应用,同时也是 Valve Proton 在 Steam
alixixi 9 月 13 日消息,科技媒体 Windows Report 昨日(9 月 12 日)发布博文,报道称微软发布 Visual Studio Code 1.104 版本,引入自动选择 AI 模型功能,支
前几天,有媒体报道,工信部即将向数家公司发放我国第二批毫米波专网频率许可牌照。这引起了业界的广泛关注。今天这篇文章,小枣君打算给大家做一个深入解读。█ 什么是 5G 毫米波专网牌照?5G 毫米波专网牌照,说白了,就是
alixixi 9 月 13 日消息,市场调查机构 CounterPoint Research 昨日(9 月 12 日)发布博文,报告 2025 年第 2 季度全球最畅销智能手机,苹果 iPhone 16 以 4%
alixixi 9 月 13 日消息,科技媒体 9to5Mac 今天(9 月 13 日)发布博文,报道称苹果首席执行官蒂姆・库克(Tim Cook)今天参观了位于美国肯塔基州哈罗兹堡的康宁工厂,回应了外界对新款 iP
alixixi 9 月 13 日消息,近期,针对未经实名登记实施飞行活动、操控无人机违规飞行等违法行为,上海警方在全市范围组织开展专项打击整治行动,已查处违法案件 380 余起,行政处罚 380 余人,没收无人机 1
alixixi 9 月 13 日消息,东风汽车宣布,9 月 11 日,东风日产启辰品牌成立 15 周年之际与互联网和移动出行平台哈啰在上海外滩大会上正式达成战略合作,并签订万台启辰 VX6 订单,共同推动 L4 级别
alixixi 9 月 13 日消息,市场调查机构 CounterPoint Research 昨日(9 月 12 日)发布博文,报告称 2025 年第 2 季度全球扩展现实(XR,含虚拟现实 VR 和增强现实 AR
alixixi 9 月 13 日消息,科技媒体 9to5Mac 昨日(9 月 12 日)发布博文,报道称苹果将于下周推送 tvOS 26 更新,Apple Music 的卡拉 OK 功能“Sing”将首次在 Appl
alixixi 9 月 12 日消息,消息源 Moore's Law is Dead 今天(9 月 12 日)发布视频,分享了索尼 PlayStation 6 的完整规格,显示该游戏主机将搭载 AMD 定制“Orio
alixixi 9 月 13 日消息,苹果中国官网昨日(9 月 12 日)发布博文,公布了 iPhone 17、iPhone Air、iPhone 17 Pro、iPhone 17 Pro Max 四款机型的保修期外
alixixi 9 月 13 日消息,科技媒体 Windows Latest 昨日(9 月 12 日)发布博文,报道称在 Windows 11 系统上 Beta 频道 Microsoft Edge 浏览器 141.0
学习通是常用的学习工具,可以随时进行学习,找到你需要的资源,跨平台就能在线学习,了解学习的进度,但是很多小伙伴找不到入口在哪,下面就分享给大家。学习通网页版登录
点击阅读