冀云东光
79.83MB · 2025-12-12
maple是一款强大的数学软件,在处理不定积分时,它不仅能快速给出积分结果,还能展示详细的计算步骤,这对于深入理解积分运算原理十分有帮助。
一、基本操作流程
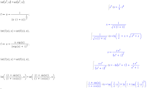
在maple中输入不定积分表达式,例如要计算⁄(⁄int x^2 ⁄sin x ⁄,dx⁄),只需在命令行输入“int(x^2*sin(x),x);” ,按下回车键后,maple会迅速给出积分结果:⁄(-x^{2}⁄cos ⁄left( x⁄right) +2⁄,x⁄sin ⁄left( x⁄right) +2⁄,⁄cos ⁄left( x⁄right) +c⁄)。
二、查看计算步骤
要查看具体的计算过程,可以使用“intsteps”命令。继续以上面的积分为例,输入“intsteps(int(x^2*sin(x),x));” ,maple会详细展示每一步的计算依据:
首先是使用分部积分法,设⁄(u = x^{2}⁄),⁄(dv=⁄sin ⁄left( x⁄right) dx⁄),则⁄(du = 2x dx⁄),⁄(v=-⁄cos ⁄left( x⁄right)⁄),根据分部积分公式⁄(⁄int u dv=uv-⁄int v du⁄)得到⁄(-x^{2}⁄cos ⁄left( x⁄right) +⁄int 2⁄,x⁄cos ⁄left( x⁄right) ⁄,dx⁄)。

然后对⁄(⁄int 2⁄,x⁄cos ⁄left( x⁄right) ⁄,dx⁄)再次使用分部积分法,设⁄(u = 2x⁄),⁄(dv=⁄cos ⁄left( x⁄right) dx⁄),⁄(du = 2dx⁄),⁄(v=⁄sin ⁄left( x⁄right)⁄),得到⁄(2⁄,x⁄sin ⁄left( x⁄right) -⁄int 2⁄,⁄sin ⁄left( x⁄right) ⁄,dx⁄)。

最后计算⁄(⁄int 2⁄,⁄sin ⁄left( x⁄right) ⁄,dx=-2⁄,⁄cos ⁄left( x⁄right)⁄),整理后就得到了最终结果⁄(-x^{2}⁄cos ⁄left( x⁄right) +2⁄,x⁄sin ⁄left( x⁄right) +2⁄,⁄cos ⁄left( x⁄right) +c⁄)。
三、重要性及应用场景

这种查看计算步骤的功能在数学学习和研究中具有重要意义。对于学生而言,它有助于理解积分的复杂运算过程,巩固积分知识;对于科研工作者,能帮助他们验证自己的积分思路是否正确,节省时间和精力。在工程、物理等领域的实际问题求解中,通过查看maple的积分步骤,也能更好地把握问题的数学本质,为解决实际问题提供有力支持。
通过maple的“intsteps”命令,我们能方便地查看不定积分的详细计算步骤,这为数学学习、研究及实际应用带来了极大的便利。